首页
关于我们
产品中心
检测报告
企业形象
合作客户
新闻动态
在线留言
联系我们
首页
返回
检测报告
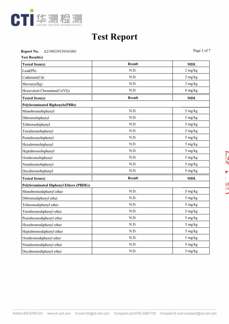
黄棒英文版检测报告
信息详细
上一页:
黄棒ROHS十项中文版检测报告
下一页:
硅胶卤素英文版检测报告
电话:
13925806012
邮件
地图
分享
留言